|
|
| 通用名称 |
右旋苯氰菊酯 |
英文名 |
d-cyphenothrin |
| 化学名称 |
右旋-顺,反式-2,2-二甲基-3-(2-甲基-1-丙烯基)环丙烷羧酸-(±)α-氰基-3-苯氧基苄酯 |
| 分子式 |
C24H25NO3 |
分子量 |
375.5 |
| 有效成份 |
≥92% |
毒性 |
低毒 |
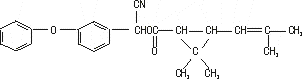
| 结构式 |
 |
理化性质 |
| 外观 |
黄色粘稠状液体 |
| 熔点 |
|
燃点 |
130℃ |
粘度 |
3400cp(20℃) |
| 比重 |
1.080(d420) |
蒸汽压 |
4×10-4Pa(30℃) |
腐蚀性 |
|
| 溶解性 |
难溶于水,易溶于已烷、甲醇、二甲苯等有机溶剂 |
| 稳定性 |
对热相对稳定 |
| 用途 |
对主要危害木材和织物的卫生害虫有效, 被用来防治家庭、公共卫生和工业害虫。本品用于
住宅、工业区和非食品加工地带, 作空间接触喷射防治蚊蝇; 制成熏烟剂对蟑螂有特效。 |
|
|
|