|
|
| 通用名称 |
右旋丙炔菊酯 |
英文名 |
d-Prallethrin |
| 化学名称 |
右旋-反式-2, 2-二甲基-3-(2-甲基-1-丙烯基)环丙烷羧酸-(S)-2-甲基-3-(2-炔丙基)-4-氧代-环戊-2-烯基酯 |
| 分子式 |
C19H24O3 |
分子量 |
300.40 |
| 有效成份 |
≥90% |
毒性 |
低毒 |
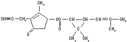
| 结构式 |
 |
理化性质 |
| 外观 |
浅黄色或棕黄色粘稠状液体 |
| 熔点 |
|
沸点 |
|
粘度 |
284.2cp(30℃) |
| 比重 |
1.021(d420) |
蒸汽压 |
4.67×10-3Pa(20℃) |
腐蚀性 |
|
| 溶解性 |
难溶于水,易溶于乙醇、丙醇、煤油、丙酮、二甲苯等大多数有机溶剂 |
| 稳定性 |
在大多数有机溶剂稳定,在甲醇或乙醇中不稳定, 遇碱、紫外线能促其分解。常温下可贮存两年 |
| 用途 |
本品蒸气压较高, 本品对蟑螂有突出的驱赶作用。适用于蚊香、电热蚊香片,亦可作为气雾杀虫剂的击倒剂 |
|
|
|
|