|
|
| 通用名称 |
胺菊酯(tetramethrin) |
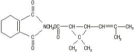
| 化学名称 |
(1R,S)顺,反-2,2-二甲基-3-(2-甲基-1-丙烯基)环丙烷羧酸-3,4,5,6-四氢酞酰亚胺基甲基酯 |
| 分子式 |
C19H25NO4 |
分子量 |
331.4 |
| 有效成份 |
95%-98%(顺反比:10:90) |
毒性 |
低毒 |
| 结构式 |
 |
理化性质 |
| 外观 |
白色或略带浅黄色固体,有类似除虫菊的气味 |
| 熔点 |
65-80℃ |
沸点 |
185-190℃/13.3Pa |
闪点 |
>200℃ |
| 比重 |
1.108(d20) |
蒸汽压 |
4.7×10-6Pa |
腐蚀性 |
无 |
| 溶解性 |
不溶于水,易溶于芳烃、丙酮、乙酸乙酯等有机溶剂。与增效醚、八氯二丙醚等增效剂有较好的相溶性 |
| 稳定性 |
在弱酸性和中性条件下稳定,在碱性介质中易发生水解,对光敏感 |
| 用途 |
对蚊、蝇等飞行昆虫有卓越的快速击倒作用,对蟑螂等有很好的驱赶作用,常与氯菊酯、高效氯氰菊酯复配成气雾杀虫剂、喷射剂或酊剂,适用于家庭、公共卫生、仓贮等的害虫防治 |
| 备注 |
胺菊酯的最有效体是右旋反式体,顺式体药效较低,我厂生产的右旋反式胺菊酯顺反比为2/98,左右旋比为5/95,击倒力更强,效果更佳。 |
|
|
|